ANA SAYFA
YAZARLAR
Radyo Diyalog ve TV 2020 Canlı Yayını
ÜYE OL
GİRİŞ YAP
KIBRIS
GÜNEY
TÜRKİYE
DÜNYA
EKONOMİ
MAGAZİN
SPOR
GENÇ VİZYON
Ara
EĞİTİM
SAĞLIK
YAŞAM
KÜLTÜR & SANAT
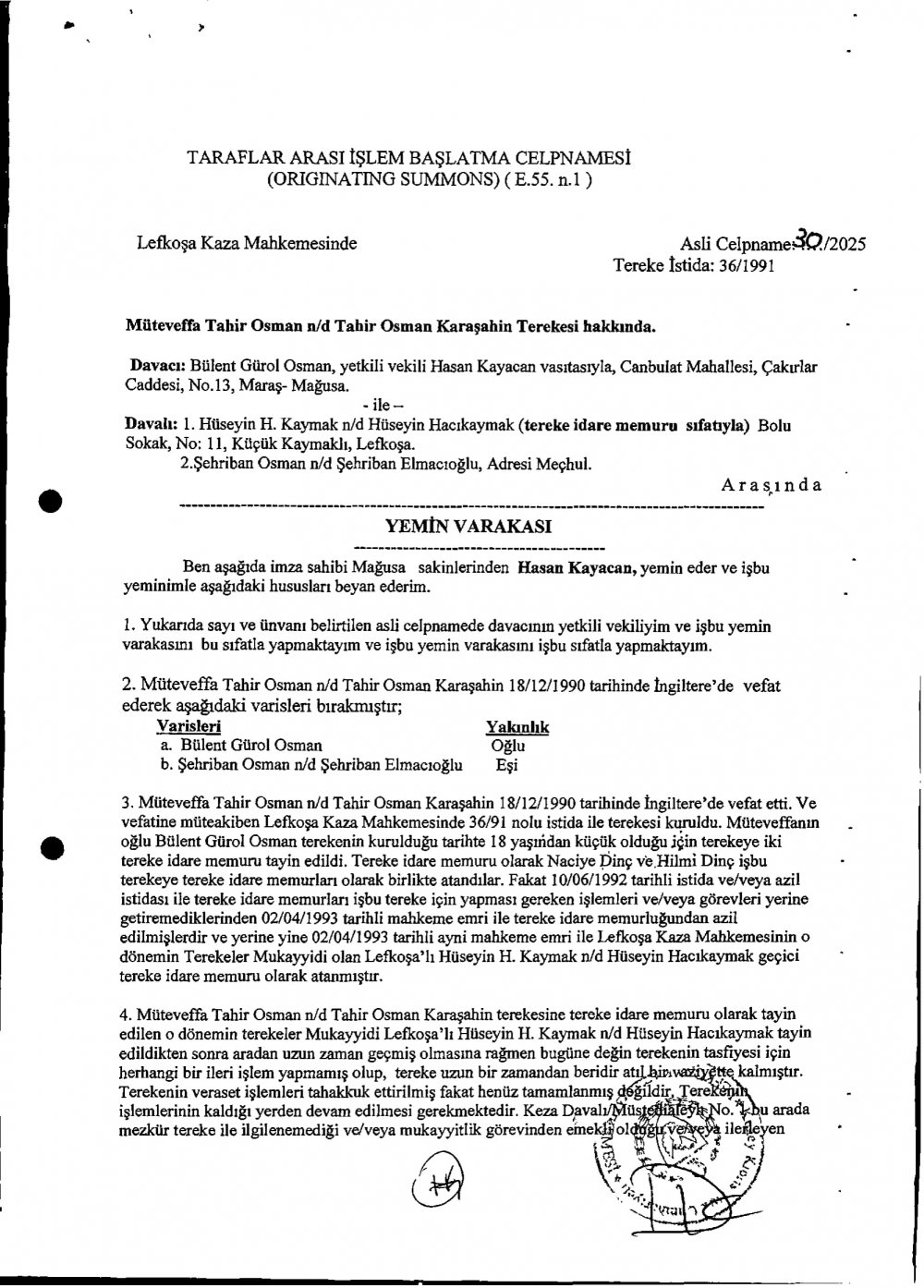
Lefkoşa Kaza Mahkemesi- Celpname no:30/25